Home Browse Text SearchFunctional Group SearchStructure SearchPreferences Administration

selected data collection: 1

IRIS SDF: browse content


1
  <<    <    >    >>  

1:727611 C25H51N3O12
hit structure
1:727612 C32H58N2O15
hit structure
1:727613 C49H101NO24
hit structure
1:727614 C56H106N2O27
hit structure
1:727615 C9H21NO4
hit structure
1:727616 C9H19N3O4
hit structure
1:727617 C17H37NO8
hit structure
1:727618 C17H35N3O8
hit structure
1:727619 C49H99N3O24
hit structure
1:727620 C15H33NO7
hit structure
1:727621 C39H54O11S
hit structure
1:727622 C31H38O7S
hit structure
1:727623 C35H61NO16
hit structure
1:727624 C59H109NO28
hit structure
1:727625 C23H37NO10
hit structure
1:727626 C27H45NO12
hit structure
1:727627 C31H43N3O9
hit structure
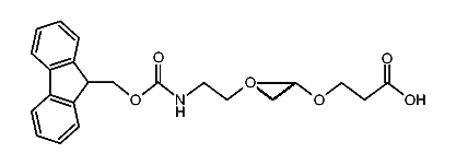
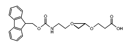
1:727628 C22H25NO6
hit structure
1:727629 C66H113NO28
hit structure
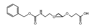
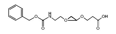
1:727630 C26H33NO8
hit structure
1:727631 C30H41NO10
hit structure
1:727632 C34H49NO12
hit structure
1:727633 C29H47N5O11S
hit structure
1:727634 C41H72N4O18S
hit structure
1:727635 C25H40N4O10S
hit structure

1
  <<    <    >    >>  

entries in data collection: 734800