Home Browse Text SearchFunctional Group SearchStructure SearchPreferences Administration

selected data collection: 1

IRIS SDF: browse content


1
  <<    <    >    >>  

1:727586 C30H48N2O17
hit structure
1:727587 C26H38N6O7
hit structure
1:727588 C24H34N4O9
hit structure
1:727589 C19H29NO8
hit structure
1:727590 C34H70N4O13
hit structure
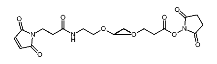
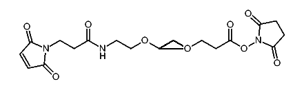
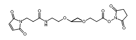
1:727591 C21H37N3O8S
hit structure
1:727592 C15H30O7
hit structure
1:727593 C23H46O11
hit structure
1:727594 C38H63N3O19
hit structure
1:727595 C14H20N2O7
hit structure
1:727596 C18H23N3O9
hit structure
1:727597 C62H111N3O31
hit structure
1:727598 C18H28N2O9
hit structure
1:727599 C22H31N3O11
hit structure
1:727600 C26H39N3O13
hit structure
1:727601 C30H47N3O15
hit structure
1:727602 C41H71N5O16S
hit structure
1:727603 C58H108N2O29
hit structure
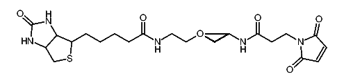
1:727604 C27H43N5O8S
hit structure
1:727605 C26H44N2O13
hit structure
1:727606 C10H20O6
hit structure
1:727607 C18H36O10
hit structure
1:727608 C6H12O4
hit structure
1:727609 C52H104O27
hit structure
1:727610 C25H53NO12
hit structure

1
  <<    <    >    >>  

entries in data collection: 734800