Home Browse Text SearchFunctional Group SearchStructure SearchPreferences Administration

selected data collection: 1

IRIS SDF: browse content


1
  <<    <    >    >>  

1:636592 C5H9NO2
hit structure
1:636593 C6H11NO2
hit structure
1:636594 C16H26N2O4
hit structure
1:636595 C16H22N2O4
hit structure
1:636596 C18H34N2O4
hit structure
1:636597 C18H30N2O4
hit structure
1:636598 C8H15NO2
hit structure
1:636599 C7H13NO2
hit structure
1:636600 C12H18N2O4
hit structure
1:636601 C14H26N2O4
hit structure
1:636602 C16H30N2O4
hit structure
1:636603 C7H13NO2
hit structure
1:636604 C16H30N2O4
hit structure
1:636605 C14H22N2O4
hit structure
1:636606 C14H22N2O4
hit structure
1:636607 C18H30N2O4
hit structure
1:636608 C6H13NO2
hit structure
1:636609 C7H15NO2
hit structure
1:636610 C8H17NO2
hit structure
1:636611 C9H19NO2
hit structure
1:636612 C7H15NO2
hit structure
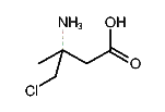
1:636613 C5H10ClNO2
hit structure
1:636614 C6H11NO2
hit structure
1:636615 C9H17NO2
hit structure
1:636616 C10H19NO2
hit structure

1
  <<    <    >    >>  

entries in data collection: 639090