Home Browse Text SearchFunctional Group SearchStructure SearchPreferences Administration

selected data collection: 1

IRIS SDF: browse content


1
  <<    <    >    >>  

1:636567 C18H34N2O4
hit structure
1:636568 C18H30N2O4
hit structure
1:636569 C8H15NO2
hit structure
1:636570 C7H13NO2
hit structure
1:636571 C12H18N2O4
hit structure
1:636572 C14H26N2O4
hit structure
1:636573 C8H15NO2
hit structure
1:636574 C14H26N2O4
hit structure
1:636575 C16H30N2O4
hit structure
1:636576 C14H22N2O4
hit structure
1:636577 C14H22N2O4
hit structure
1:636578 C18H30N2O4
hit structure
1:636579 C7H13NO2
hit structure
1:636580 C6H13NO2
hit structure
1:636581 C7H15NO2
hit structure
1:636582 C8H17NO2
hit structure
1:636583 C9H19NO2
hit structure
1:636584 C7H15NO2
hit structure
1:636585 C6H13NO2
hit structure
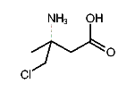
1:636586 C5H10ClNO2
hit structure
1:636587 C9H17NO2
hit structure
1:636588 C10H19NO2
hit structure
1:636589 C7H15NO2
hit structure
1:636590 C7H13NO2
hit structure
1:636591 C7H13NO3
hit structure

1
  <<    <    >    >>  

entries in data collection: 639090