Home Browse Text SearchFunctional Group SearchStructure SearchPreferences Administration

selected data collection: 1

IRIS SDF: browse content


1
  <<    <    >    >>  

1:626620 C61H105F4N5O21
hit structure
1:626621 C108H203F4NO51
hit structure
1:626622 C85H153F4N5O33
hit structure
1:626623 C53H105NO27
hit structure
1:626624 C33H49F4N5O13
hit structure
1:626625 C59H105F4NO27
hit structure
1:626626 C49H81F4N5O21
hit structure
1:626627 C24H50N4O12
hit structure
1:626628 C73H129F4N5O33
hit structure
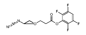
1:626629 C28H36F4N2O11
hit structure
1:626630 C59H107N7O21
hit structure
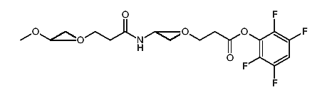
1:626631 C17H21F4N3O6
hit structure
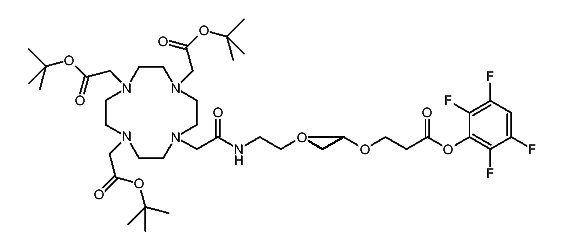
1:626632 C33H53F4N3O14
hit structure
1:626633 C47H83N7O21
hit structure
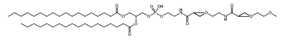
1:626634 C86H159N3O43
hit structure
1:626635 C71H131N7O33
hit structure
1:626636 C28H56O15
hit structure
1:626637 C32H59NO17
hit structure
1:626638 C34H56F4O15
hit structure
1:626639 C150H289N4O61P
hit structure
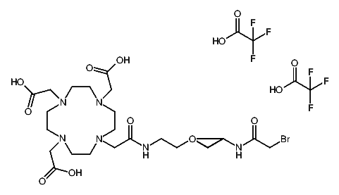
1:626640 C30H49BrF6N6O15
hit structure
1:626641 C118H233N2O46P
hit structure
1:626642 C42H79BrN6O19
hit structure
1:626643 C144H285N2O59P
hit structure
1:626644 C109H205F4NO52
hit structure

1
  <<    <    >    >>  

entries in data collection: 627830