Home Browse Text SearchFunctional Group SearchStructure SearchPreferences Administration

selected data collection: 1

IRIS SDF: browse content


1
  <<    <    >    >>  

1:626595 C32H34N2O5S
hit structure
1:626596 C32H34N2O5S
hit structure
1:626597 C25H45N3O10S
hit structure
1:626598 C30H36O6S
hit structure
1:626599 C12H25N3O6
hit structure
1:626600 C27H32O4S
hit structure
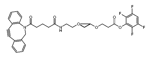
1:626601 C37H38F4N2O8
hit structure
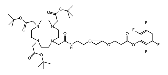
1:626602 C53H70F4N2O16
hit structure
1:626603 C77H118F4N2O28
hit structure
1:626604 C101H166F4N2O40
hit structure
1:626605 C52H74N4O17
hit structure
1:626606 C76H122N4O29
hit structure
1:626607 C31H38BrN3O7
hit structure
1:626608 C25H37N7O6S
hit structure
1:626609 C47H70BrN3O15
hit structure
1:626610 C23H38N4O6S
hit structure
1:626611 C71H118BrN3O27
hit structure
1:626612 C11H17NO5
hit structure
1:626613 C55H83N5O16S
hit structure
1:626614 C33H45N3O12
hit structure
1:626615 C66H79N3O20
hit structure
1:626616 C13H28N2O5
hit structure
1:626617 C75H141N2O26P
hit structure
1:626618 C45H73F4N5O13
hit structure
1:626619 C69H136NO22P
hit structure

1
  <<    <    >    >>  

entries in data collection: 627830