Home Browse Text SearchFunctional Group SearchStructure SearchPreferences Administration

selected data collection: 1

IRIS SDF: browse content


1
  <<    <    >    >>  

1:587291 C47H76F4N4O17S
hit structure
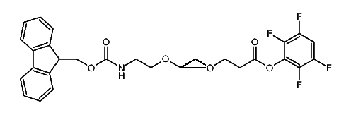
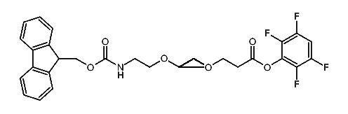
1:587292 C32H33F4NO8
hit structure
1:587293 C40H49F4NO12
hit structure
1:587294 C48H65F4NO16
hit structure
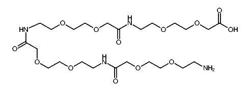
1:587295 C72H113F4NO28
hit structure
1:587296 C96H161F4NO40
hit structure
1:587297 C18H35NO8
hit structure
1:587298 C13H28N2O5
hit structure
1:587299 C15H32N2O6
hit structure
1:587300 C72H132N2O34S2
hit structure
1:587301 C9H20N2O3
hit structure
1:587302 C6H13NO4
hit structure
1:587303 C6H10KN3O4
hit structure
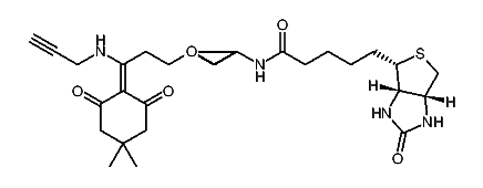
1:587304 C32H53N7O8S
hit structure
1:587305 C38H57N9O9S
hit structure
1:587306 C32H50N4O8S
hit structure
1:587307 C27H49N7O7S
hit structure
1:587308 C27H42N8O7S
hit structure
1:587309 C24H40N4O7S
hit structure
1:587310 C20H38N4O5S
hit structure
1:587311 C24H46N4O13
hit structure
1:587312 C11H21NO6
hit structure
1:587313 C29H52N8O8S3
hit structure
1:587314 C44H60N6O9S3
hit structure
1:587315 C13H26N4O5
hit structure

1
  <<    <    >    >>  

entries in data collection: 588420