Home Browse Text SearchFunctional Group SearchStructure SearchPreferences Administration

selected data collection: 1

IRIS SDF: browse content


1
  <<    <    >    >>  

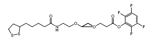
1:587266 C33H51F4NO11S2
hit structure
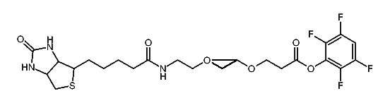
1:587267 C41H67F4NO15S2
hit structure
1:587268 C65H115F4NO27S2
hit structure
1:587269 C89H163F4NO39S2
hit structure
1:587270 C66H126N4O26S3
hit structure
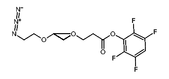
1:587271 C20H20F4N2O7
hit structure
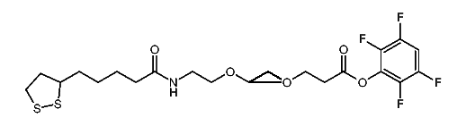
1:587272 C24H28F4N2O9
hit structure
1:587273 C32H44F4N2O13
hit structure
1:587274 C40H60F4N2O17
hit structure
1:587275 C64H108F4N2O29
hit structure
1:587276 C88H156F4N2O41
hit structure
1:587277 C115H209F4N3O54
hit structure
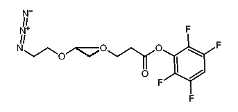
1:587278 C19H24BrF4NO7
hit structure
1:587279 C35H56BrF4NO15
hit structure
1:587280 C59H104BrF4NO27
hit structure
1:587281 C44H70N4O18
hit structure
1:587282 C57H101F4N3O26
hit structure
1:587283 C81H149F4N3O38
hit structure
1:587284 C140H246N12O64
hit structure
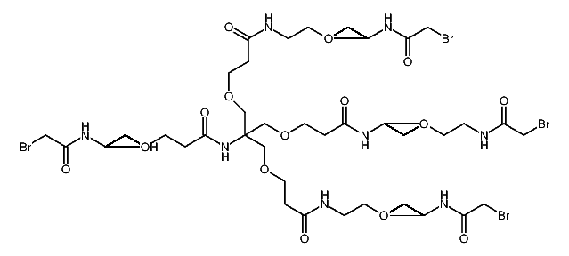
1:587285 C120H230Br4N8O56
hit structure
1:587286 C53H108N2O25
hit structure
1:587287 C26H45NO15
hit structure
1:587288 C58H109NO31
hit structure
1:587289 C67H117F4N3O28S
hit structure
1:587290 C31H44F4N4O9S
hit structure

1
  <<    <    >    >>  

entries in data collection: 588420