Home Browse Text SearchFunctional Group SearchStructure SearchPreferences Administration

selected data collection: 1

IRIS SDF: browse content


1
  <<    <    >    >>  

1:553456 C103H205NO52
hit structure
1:553457 C78H151BrN6O31
hit structure
1:553458 C117H214N2O53
hit structure
1:553459 C110H210N2O53
hit structure
1:553460 C102H204N2O51
hit structure
1:553461 C28H54Br2N2O13
hit structure
1:553462 C193H296N12O60
hit structure
1:553463 C64H82N4O15
hit structure
1:553464 C93H184NO34P
hit structure
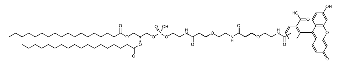
1:553465 C163H299N4O60P
hit structure
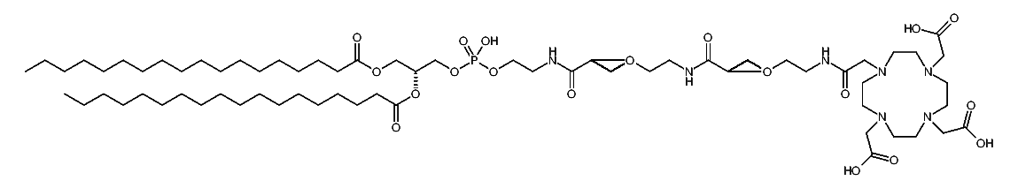
1:553466 C159H310N7O65P
hit structure
1:553467 C165H298N3O64P
hit structure
1:553468 C164H319N6O65PS
hit structure
1:553469 C201H390N5O86P
hit structure
1:553470 C237H460N12O112
hit structure
1:553471 C141H256N12O64
hit structure
1:553472 C10H19BrN4O4
hit structure
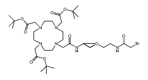
1:553473 C26H51BrN4O12
hit structure
1:553474 C50H99BrN4O24
hit structure
1:553475 C10H24N4O5S
hit structure
1:553476 C17H22F4O7
hit structure
1:553477 C33H54F4O15
hit structure
1:553478 C57H102F4O27
hit structure
1:553479 C94H149N5O39
hit structure
1:553480 C32H52F4O14
hit structure

1
  <<    <    >    >>  

entries in data collection: 560270