Home Browse Text SearchFunctional Group SearchStructure SearchPreferences Administration

selected data collection: 1

IRIS SDF: browse content


1
  <<    <    >    >>  

1:553431 C108H203F4NO51
hit structure
1:553432 C85H153F4N5O33
hit structure
1:553433 C53H105NO27
hit structure
1:553434 C33H49F4N5O13
hit structure
1:553435 C59H105F4NO27
hit structure
1:553436 C49H81F4N5O21
hit structure
1:553437 C24H50N4O12
hit structure
1:553438 C73H129F4N5O33
hit structure
1:553439 C28H36F4N2O11
hit structure
1:553440 C59H107N7O21
hit structure
1:553441 C17H21F4N3O6
hit structure
1:553442 C33H53F4N3O14
hit structure
1:553443 C47H83N7O21
hit structure
1:553444 C86H159N3O43
hit structure
1:553445 C71H131N7O33
hit structure
1:553446 C28H56O15
hit structure
1:553447 C32H59NO17
hit structure
1:553448 C34H56F4O15
hit structure
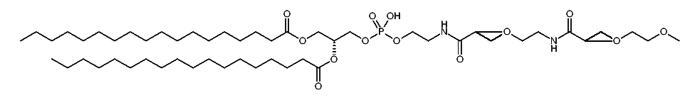
1:553449 C150H289N4O61P
hit structure
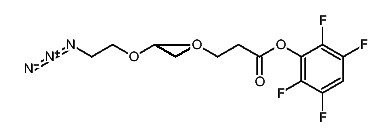
1:553450 C30H49BrF6N6O15
hit structure
1:553451 C118H233N2O46P
hit structure
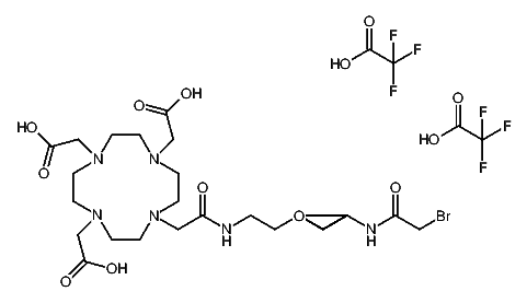
1:553452 C42H79BrN6O19
hit structure
1:553453 C144H285N2O59P
hit structure
1:553454 C109H205F4NO52
hit structure
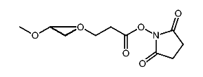
1:553455 C25H28O3S
hit structure

1
  <<    <    >    >>  

entries in data collection: 560270