Home Browse Text SearchFunctional Group SearchStructure SearchPreferences Administration

selected data collection: 1

IRIS SDF: browse content


1
  <<    <    >    >>  

1:465041 C31H36N2O6
hit structure
1:465042 C34H42N2O6
hit structure
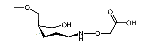
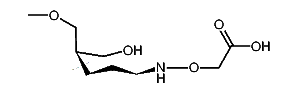
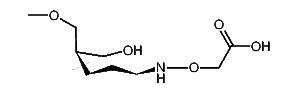
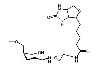
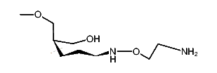
1:465043 C15H23NO4S
hit structure
1:465044 C34H42N2O6
hit structure
1:465045 C32H38N2O6
hit structure
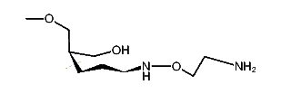
1:465046 C11H28N2O3
hit structure
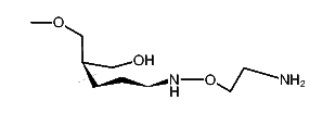
1:465047 C11H28N2O3
hit structure
1:465048 C11H28N2O3
hit structure
1:465049 C11H28N2O3
hit structure
1:465050 C11H28N2O3
hit structure
1:465051 C11H28N2O3
hit structure
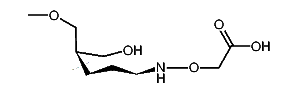
1:465052 C11H25NO5
hit structure
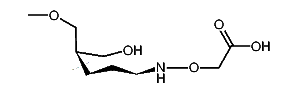
1:465053 C11H25NO5
hit structure
1:465054 C11H25NO5
hit structure
1:465055 C11H25NO5
hit structure
1:465056 C11H25NO5
hit structure
1:465057 C11H25NO5
hit structure
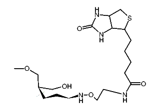
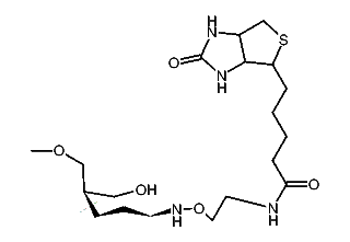
1:465058 C21H42N4O5S
hit structure
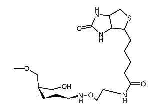
1:465059 C21H42N4O5S
hit structure
1:465060 C21H42N4O5S
hit structure
1:465061 C21H42N4O5S
hit structure
1:465062 C21H42N4O5S
hit structure
1:465063 C12H29NO3S
hit structure
1:465064 C25H23N3O2
hit structure
1:465065 C47H51FN7O7P
hit structure

1
  <<    <    >    >>  

entries in data collection: 468746