Home Browse Text SearchFunctional Group SearchStructure SearchPreferences Administration

selected data collection: 1

IRIS SDF: browse content


1
  <<    <    >    >>  

1:465016 C40H49N3O8
hit structure
1:465017 C41H51N3O8
hit structure
1:465018 C46H53N3O8
hit structure
1:465019 C38H45N3O7
hit structure
1:465020 C52H64N6O10S
hit structure
1:465021 C8H11N
hit structure
1:465022 C15H21NO4
hit structure
1:465023 C11H17NO
hit structure
1:465024 C15H21NO4
hit structure
1:465025 C11H17NO
hit structure
1:465026 C11H15BrO
hit structure
1:465027 C17H25NO3
hit structure
1:465028 C18H30O5
hit structure
1:465029 C19H22O4
hit structure
1:465030 C18H20O3
hit structure
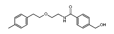
1:465031 C19H23NO3
hit structure
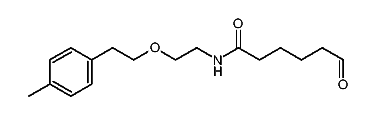
1:465032 C28H30N2O6
hit structure
1:465033 C21H34N2O6
hit structure
1:465034 C29H32N2O6
hit structure
1:465035 C28H30N2O6
hit structure
1:465036 C20H30N2O6
hit structure
1:465037 C21H34N2O6
hit structure
1:465038 C31H36N2O6
hit structure
1:465039 C16H25NO6
hit structure
1:465040 C31H36N2O6
hit structure

1
  <<    <    >    >>  

entries in data collection: 468746