Home Browse Text SearchFunctional Group SearchStructure SearchPreferences Administration

selected data collection: 1

IRIS SDF: browse content


1
  <<    <    >    >>  

1:444758 C14H29N3O4
hit structure
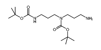
1:444759 C16H33N3O4
hit structure
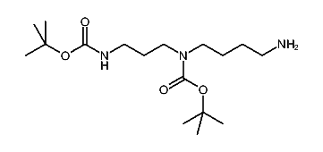
1:444760 C16H33N3O4
hit structure
1:444761 C17H35N3O4
hit structure
1:444762 C17H35N3O4
hit structure
1:444763 C10H22N4O3
hit structure
1:444764 C24H50N4O4
hit structure
1:444765 C9H20N2O2S2
hit structure
1:444766 C13H28N2O2
hit structure
1:444767 C14H30N2O2
hit structure
1:444768 C15H32N2O2
hit structure
1:444769 C16H34N2O2
hit structure
1:444770 C17H36N2O2
hit structure
1:444771 C14H27N3O4
hit structure
1:444772 C9H19N3O2
hit structure
1:444773 C9H18N2O3
hit structure
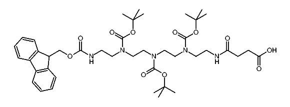
1:444774 C23H47N5O6
hit structure
1:444775 C42H61N5O11
hit structure
1:444776 C13H22N2O4S2
hit structure
1:444777 C9H21N3O2
hit structure
1:444778 C16H33N3O4
hit structure
1:444779 C9H21N3O2
hit structure
1:444780 C14H28N2O4S2
hit structure
1:444781 C6H10N4O3
hit structure
1:444782 C11H20N2O5
hit structure

1
  <<    <    >    >>  

entries in data collection: 448618