Home Browse Text SearchFunctional Group SearchStructure SearchPreferences Administration

selected data collection: 1

IRIS SDF: browse content


1
  <<    <    >    >>  

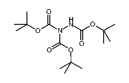
1:444733 C17H26N2O5
hit structure
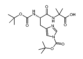
1:444734 C34H38N4O5
hit structure
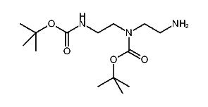
1:444735 C20H32N4O7
hit structure
1:444736 C45H56N6O9
hit structure
1:444737 C31H50N6O11
hit structure
1:444738 C22H34N2O6
hit structure
1:444739 C10H20N2O2
hit structure
1:444740 C9H20N2O2
hit structure
1:444741 C9H20N2O2
hit structure
1:444742 C18H26N2O6
hit structure
1:444743 C11H22N2O2
hit structure
1:444744 C15H28N2O6
hit structure
1:444745 C9H20N2O2
hit structure
1:444746 C8H18N2O2
hit structure
1:444747 C10H22N2O2
hit structure
1:444748 C15H32N2O4
hit structure
1:444749 C11H24N2O4
hit structure
1:444750 C7H16N2O2
hit structure
1:444751 C14H22N2O2
hit structure
1:444752 C23H26BrN2O2P
hit structure
1:444753 C9H18N2O2
hit structure
1:444754 C9H18N2O2
hit structure
1:444755 C11H22N2O2
hit structure
1:444756 C13H26N2O2
hit structure
1:444757 C14H29N3O4
hit structure

1
  <<    <    >    >>  

entries in data collection: 448618