Home Browse Text SearchFunctional Group SearchStructure SearchPreferences Administration

selected data collection: 1

IRIS SDF: browse content


1
  <<    <    >    >>  

1:438715 C20H29ClN6O4
hit structure
1:438716 C23H32ClN3O5
hit structure
1:438717 C27H30N4O6
hit structure
1:438718 C34H33N5O10
hit structure
1:438719 C30H36N6O7
hit structure
1:438720 C37H39N7O11
hit structure
1:438721 C32H39N5O8
hit structure
1:438722 C39H42N6O12
hit structure
1:438723 C13H14O5
hit structure
1:438724 C20H17NO9
hit structure
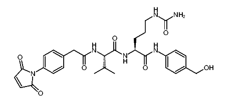
1:438725 C42H54N6O9
hit structure
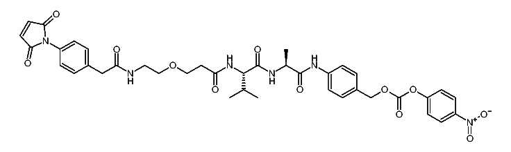
1:438726 C49H57N7O13
hit structure
1:438727 C39H48N4O8
hit structure
1:438728 C46H51N5O12
hit structure
1:438729 C12H14N2O
hit structure
1:438730 C9H18N2O2
hit structure
1:438731 C15H14N2O2
hit structure
1:438732 C11H26N2O4
hit structure
1:438733 C14H24N2O4
hit structure
1:438734 C11H26N2O4
hit structure
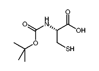
1:438735 C8H15NO4S
hit structure
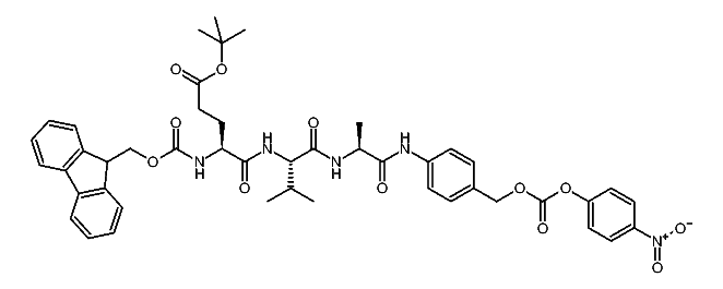
1:438736 C27H29NO4S
hit structure
1:438737 C13H22N2O6
hit structure
1:438738 C24H28N2O6
hit structure
1:438739 C9H18N2O4
hit structure

1
  <<    <    >    >>  

entries in data collection: 458682