Home Browse Text SearchFunctional Group SearchStructure SearchPreferences Administration

selected data collection: 1

IRIS SDF: browse content


1
  <<    <    >    >>  

1:438690 C36H48N4O13
hit structure
1:438691 C33H49N5O11
hit structure
1:438692 C40H52N6O15
hit structure
1:438693 C40H51N5O8
hit structure
1:438694 C28H38N6O7
hit structure
1:438695 C35H41N7O11
hit structure
1:438696 C22H32N8O5
hit structure
1:438697 C29H35N9O9
hit structure
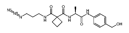
1:438698 C22H29N5O5
hit structure
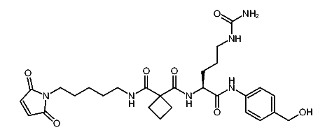
1:438699 C29H32N6O9
hit structure
1:438700 C37H40N6O6
hit structure
1:438701 C44H43N7O10
hit structure
1:438702 C25H32N4O6
hit structure
1:438703 C32H35N5O10
hit structure
1:438704 C19H26N6O4
hit structure
1:438705 C26H29N7O8
hit structure
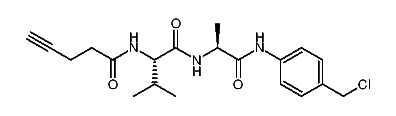
1:438706 C19H23N3O4
hit structure
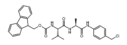
1:438707 C26H26N4O8
hit structure
1:438708 C34H34N4O5
hit structure
1:438709 C41H37N5O9
hit structure
1:438710 C20H30ClN3O4
hit structure
1:438711 C30H32ClN3O4
hit structure
1:438712 C21H31ClN6O3
hit structure
1:438713 C20H26ClN3O3
hit structure
1:438714 C25H33ClN4O5
hit structure

1
  <<    <    >    >>  

entries in data collection: 458682