Home Browse Text SearchFunctional Group SearchStructure SearchPreferences Administration

selected data collection: 1

IRIS SDF: browse content


1
  <<    <    >    >>  

1:371614 C17H11NO3
hit structure
1:371615 C9H15O6P
hit structure
1:371616 C24H36N4O6S
hit structure
1:371617 C18H25N3O3S
hit structure
1:371618 C16H28N4O4S
hit structure
1:371619 C46H50N10O9
hit structure
1:371620 C55H65N7O12
hit structure
1:371621 C51H53N7O16
hit structure
1:371622 C48H63N13O10
hit structure
1:371623 C23H34N4O4S3
hit structure
1:371624 C14H20N4O4
hit structure
1:371625 C16H15N5
hit structure
1:371626 C27H38D6O2
hit structure
1:371627 C27H40D6O2
hit structure
1:371628 C27H38D6O
hit structure
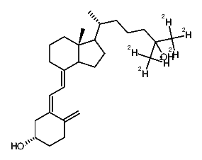
1:371629 C27H38D6O2
hit structure
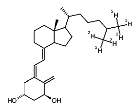
1:371630 C27H38D6O3
hit structure
1:371631 C27H41D3O
hit structure
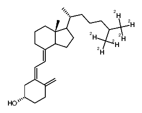
1:371632 C27H38D6O
hit structure
1:371633 C27H40D6O
hit structure
1:371634 C28H38D6O2
hit structure
1:371635 C28H38D6O2
hit structure
1:371636 C28H38D6O3
hit structure
1:371637 C28H41D3O
hit structure
1:371638 C28H38D6O
hit structure

1
  <<    <    >    >>  

entries in data collection: 408362