Home Browse Text SearchFunctional Group SearchStructure SearchPreferences Administration

selected data collection: 1

IRIS SDF: browse content


1
  <<    <    >    >>  

1:371589 C33H42N2O10
hit structure
1:371590 C26H30N2O8
hit structure
1:371591 C49H48N4O8
hit structure
1:371592 C30H38N2O8
hit structure
1:371593 C30H38N2O8
hit structure
1:371594 C35H47N3O10
hit structure
1:371595 C29H36N2O8S
hit structure
1:371596 C33H36N2O8
hit structure
1:371597 C31H40N2O9
hit structure
1:371598 C32H42N2O9
hit structure
1:371599 C40H45N3O10
hit structure
1:371600 C37H44N2O9
hit structure
1:371601 C29H36N2O8
hit structure
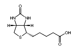
1:371602 C10H16N2O3S
hit structure
1:371603 C7H19N3
hit structure
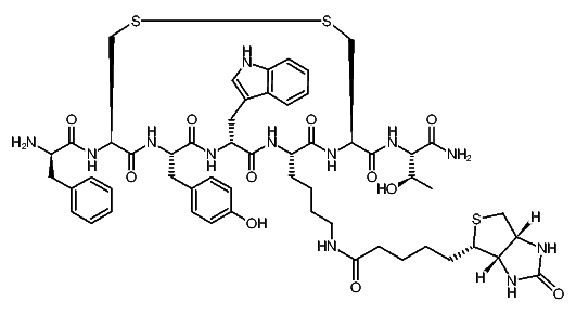
1:371604 C51H70N10O15S2
hit structure
1:371605 C51H61F9N10O15S2
hit structure
1:371606 C55H72N12O11S3
hit structure
1:371607 C90H106N12O13S3
hit structure
1:371608 C31H42N6O8
hit structure
1:371609 C10H18N2O3
hit structure
1:371610 C18H27N3O3
hit structure
1:371611 C15H28N4O2S
hit structure
1:371612 C14H18N3NaO8S2
hit structure
1:371613 C13H24N4O2S
hit structure

1
  <<    <    >    >>  

entries in data collection: 413394