Home Browse Text SearchFunctional Group SearchStructure SearchPreferences Administration

selected data collection: 1

IRIS SDF: browse content


1
  <<    <    >    >>  

1:322019 C17H25N5O4
hit structure
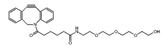
1:322020 C29H37N3O6
hit structure
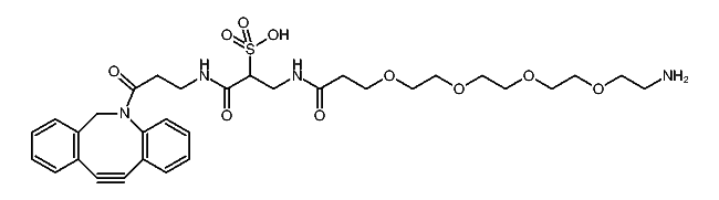
1:322021 C32H42N4O10S
hit structure
1:322022 C21H19NO3
hit structure
1:322023 C25H22N2O5
hit structure
1:322024 C32H40N2O9
hit structure
1:322025 C36H43N3O11
hit structure
1:322026 C59H69N3O14S3
hit structure
1:322027 C25H21N3O4
hit structure
1:322028 C36H42N4O9
hit structure
1:322029 C29H36N2O6
hit structure
1:322030 C39H51N5O8S
hit structure
1:322031 C26H30N2O4
hit structure
1:322032 C26H30N2O4
hit structure
1:322033 C26H30N2O4
hit structure
1:322034 C26H30N2O4
hit structure
1:322035 C9H6N4O2
hit structure
1:322036 C15H10N2O6
hit structure
1:322037 C16H12N2O6
hit structure
1:322038 C15H10N2O6
hit structure
1:322039 C16H12N2O6
hit structure
1:322040 C12H12N2O6
hit structure
1:322041 C22H29N3O7
hit structure
1:322042 C14H16N2O6
hit structure
1:322043 C13H14N2O6
hit structure

1
  <<    <    >    >>  

entries in data collection: 337914