Home Browse Text SearchFunctional Group SearchStructure SearchPreferences Administration

selected data collection: 1

IRIS SDF: browse content


1
  <<    <    >    >>  

1:321994 C18H32O2
hit structure
1:321995 C12H13NO5
hit structure
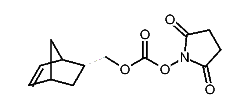
1:321996 C13H15NO5
hit structure
1:321997 C18H16N2O
hit structure
1:321998 C10H8N4O2
hit structure
1:321999 C7H10N4O2
hit structure
1:322000 C13H17NO7
hit structure
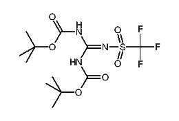
1:322001 C12H20F3N3O6S
hit structure
1:322002 C12H17F6N6O2P
hit structure
1:322003 C18H27ClF6N6OP2
hit structure
1:322004 C10H19NO4S2
hit structure
1:322005 C20H21NO4S2
hit structure
1:322006 C18H30N10O3
hit structure
1:322007 C19H20N6O5
hit structure
1:322008 C18H18N6O5
hit structure
1:322009 C27H36N6O10
hit structure
1:322010 C35H35NO7S2
hit structure
1:322011 C17H29F6N5O3P2
hit structure
1:322012 C6H7N3O4
hit structure
1:322013 C11H10N4O2
hit structure
1:322014 C20H28N4O7
hit structure
1:322015 C15H13N5O4
hit structure
1:322016 C24H31N5O9
hit structure
1:322017 C24H30N6O7
hit structure
1:322018 C10H11N5
hit structure

1
  <<    <    >    >>  

entries in data collection: 337914