Home Browse Text SearchFunctional Group SearchStructure SearchPreferences Administration

selected data collection: 1

IRIS SDF: browse content


1
  <<    <    >    >>  

1:318152 C12H23NO4
hit structure
1:318153 C15H21NO4
hit structure
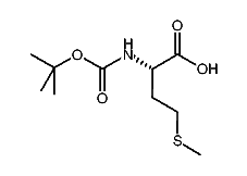
1:318154 C10H19NO4S
hit structure
1:318155 C22H27NO5
hit structure
1:318156 C11H21NO5
hit structure
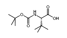
1:318157 C11H21NO4
hit structure
1:318158 C14H24N2O6
hit structure
1:318159 C15H28N2O6
hit structure
1:318160 C25H30N2O6
hit structure
1:318161 C18H26N2O6
hit structure
1:318162 C10H20N2O4
hit structure
1:318163 C14H18FNO4
hit structure
1:318164 C14H18FNO4
hit structure
1:318165 C14H19NO4
hit structure
1:318166 C13H17NO4
hit structure
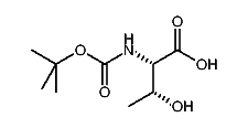
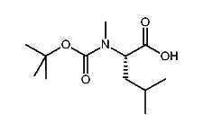
1:318167 C11H19NO4
hit structure
1:318168 C10H17NO4
hit structure
1:318169 C15H21NO5
hit structure
1:318170 C8H15NO5
hit structure
1:318171 C16H23NO5
hit structure
1:318172 C9H17NO5
hit structure
1:318173 C9H15NO4S
hit structure
1:318174 C15H19NO4
hit structure
1:318175 C11H21NO4
hit structure
1:318176 C21H28N2O6
hit structure

1
  <<    <    >    >>  

entries in data collection: 322818