Home Browse Text SearchFunctional Group SearchStructure SearchPreferences Administration

selected data collection: 1

IRIS SDF: browse content


1
  <<    <    >    >>  

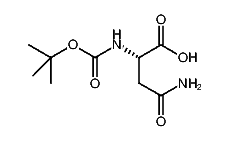
1:318127 C9H16N2O5
hit structure
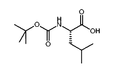
1:318128 C12H19NO6
hit structure
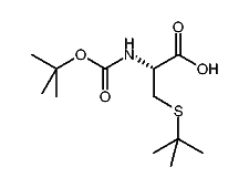
1:318129 C16H21NO6
hit structure
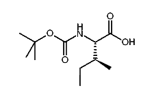
1:318130 C15H25NO6
hit structure
1:318131 C13H23NO6
hit structure
1:318132 C13H23NO6
hit structure
1:318133 C13H23NO6
hit structure
1:318134 C11H20N2O5S
hit structure
1:318135 C15H21NO4S
hit structure
1:318136 C16H23NO4S
hit structure
1:318137 C16H23NO5S
hit structure
1:318138 C12H23NO4S
hit structure
1:318139 C16H27NO6
hit structure
1:318140 C16H25N3O6
hit structure
1:318141 C11H17N3O4
hit structure
1:318142 C10H17NO5
hit structure
1:318143 C11H21NO4
hit structure
1:318144 C11H21NO4
hit structure
1:318145 C19H27ClN2O6
hit structure
1:318146 C15H26N2O6
hit structure
1:318147 C16H30N2O6
hit structure
1:318148 C19H28N2O6
hit structure
1:318149 C11H22N2O4
hit structure
1:318150 C9H17NO4
hit structure
1:318151 C12H23NO4
hit structure

1
  <<    <    >    >>  

entries in data collection: 322818