Home Browse Text SearchFunctional Group SearchStructure SearchPreferences Administration

selected data collection: 1

IRIS SDF: browse content


1
  <<    <    >    >>  

1:315862 C7H13NO2
hit structure
1:315863 C12H18N2O4
hit structure
1:315864 C14H26N2O4
hit structure
1:315865 C16H30N2O4
hit structure
1:315866 C7H13NO2
hit structure
1:315867 C16H30N2O4
hit structure
1:315868 C14H22N2O4
hit structure
1:315869 C14H22N2O4
hit structure
1:315870 C18H30N2O4
hit structure
1:315871 C6H13NO2
hit structure
1:315872 C7H15NO2
hit structure
1:315873 C8H17NO2
hit structure
1:315874 C9H19NO2
hit structure
1:315875 C7H15NO2
hit structure
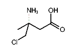
1:315876 C5H10ClNO2
hit structure
1:315877 C6H11NO2
hit structure
1:315878 C9H17NO2
hit structure
1:315879 C10H19NO2
hit structure
1:315880 C7H15NO2
hit structure
1:315881 C7H13NO2
hit structure
1:315882 C7H13NO3
hit structure
1:315883 C5H9NO2
hit structure
1:315884 C6H11NO2
hit structure
1:315885 C9H11NO2
hit structure
1:315886 C9H11NO2
hit structure

1
  <<    <    >    >>  

entries in data collection: 393266