Home Browse Text SearchFunctional Group SearchStructure SearchPreferences Administration

selected data collection: 1

IRIS SDF: browse content


1
  <<    <    >    >>  

1:315837 C14H26N2O4
hit structure
1:315838 C16H30N2O4
hit structure
1:315839 C14H22N2O4
hit structure
1:315840 C14H22N2O4
hit structure
1:315841 C18H30N2O4
hit structure
1:315842 C7H13NO2
hit structure
1:315843 C6H13NO2
hit structure
1:315844 C7H15NO2
hit structure
1:315845 C8H17NO2
hit structure
1:315846 C9H19NO2
hit structure
1:315847 C7H15NO2
hit structure
1:315848 C6H13NO2
hit structure
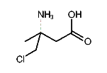
1:315849 C5H10ClNO2
hit structure
1:315850 C9H17NO2
hit structure
1:315851 C10H19NO2
hit structure
1:315852 C7H15NO2
hit structure
1:315853 C7H13NO2
hit structure
1:315854 C7H13NO3
hit structure
1:315855 C5H9NO2
hit structure
1:315856 C6H11NO2
hit structure
1:315857 C16H26N2O4
hit structure
1:315858 C16H22N2O4
hit structure
1:315859 C18H34N2O4
hit structure
1:315860 C18H30N2O4
hit structure
1:315861 C8H15NO2
hit structure

1
  <<    <    >    >>  

entries in data collection: 393266