Home Browse Text SearchFunctional Group SearchStructure SearchPreferences Administration

selected data collection: 1

IRIS SDF: browse content


1
  <<    <    >    >>  

1:307373 C30H35NO5
hit structure
1:307374 C35H44N2O7
hit structure
1:307375 C29H33NO5S
hit structure
1:307376 C30H35NO5
hit structure
1:307377 C34H42N2O7
hit structure
1:307378 C33H33NO5
hit structure
1:307379 C29H31NO5
hit structure
1:307380 C31H37NO6
hit structure
1:307381 C32H39NO6
hit structure
1:307382 C37H41NO6
hit structure
1:307383 C29H33NO5
hit structure
1:307384 C40H42N2O7
hit structure
1:307385 C89H91N7O14
hit structure
1:307386 C96H98N8O15
hit structure
1:307387 C25H50N4O6
hit structure
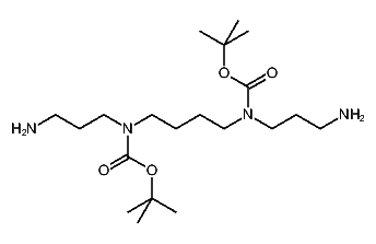
1:307388 C20H42N4O4
hit structure
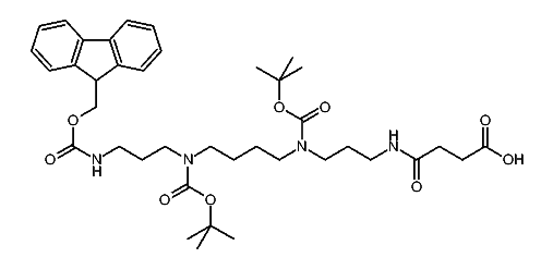
1:307389 C39H56N4O9
hit structure
1:307390 C10H24N6
hit structure
1:307391 C31H58N4O10
hit structure
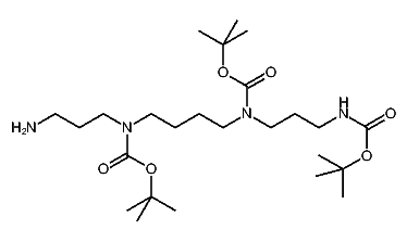
1:307392 C20H42N4O4
hit structure
1:307393 C10H22N8
hit structure
1:307394 C29H54N4O9
hit structure
1:307395 C25H48N6O6
hit structure
1:307396 C28H50N4O10
hit structure
1:307397 CH2Cl2
hit structure

1
  <<    <    >    >>  

entries in data collection: 312754