Home Browse Text SearchFunctional Group SearchStructure SearchPreferences Administration

selected data collection: 1

IRIS SDF: browse content


1
  <<    <    >    >>  

1:307348 C59H49N3O6
hit structure
1:307349 C44H42N2O7
hit structure
1:307350 C58H48N2O5S
hit structure
1:307351 C42H39N3O6S
hit structure
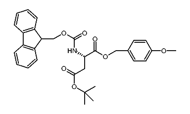
1:307352 C43H42N2O5S
hit structure
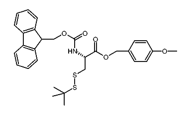
1:307353 C43H42N2O5S2
hit structure
1:307354 C60H51N3O6
hit structure
1:307355 C45H44N2O7
hit structure
1:307356 C38H32N2O5
hit structure
1:307357 C61H50N4O5
hit structure
1:307358 C52H47N3O7
hit structure
1:307359 C27H29NO5
hit structure
1:307360 C43H52N4O8S
hit structure
1:307361 C44H54N4O8S
hit structure
1:307362 C47H44N2O6
hit structure
1:307363 C32H37NO7
hit structure
1:307364 C46H43NO5S
hit structure
1:307365 C30H34N2O6S
hit structure
1:307366 C31H37NO5S
hit structure
1:307367 C31H37NO5S2
hit structure
1:307368 C48H46N2O6
hit structure
1:307369 C33H39NO7
hit structure
1:307370 C26H27NO5
hit structure
1:307371 C49H45N3O5
hit structure
1:307372 C30H35NO5
hit structure

1
  <<    <    >    >>  

entries in data collection: 312754