Home Browse Text SearchFunctional Group SearchStructure SearchPreferences Administration

selected data collection: 1

IRIS SDF: browse content


1
  <<    <    >    >>  

1:293509 C10H16N4O4
hit structure
1:293510 C13H17NO4
hit structure
1:293511 C14H19NO4S
hit structure
1:293512 C11H16N2O4
hit structure
1:293513 C15H21NO4
hit structure
1:293514 C18H27NO5
hit structure
1:293515 C10H17NO4S
hit structure
1:293516 C13H17NO4
hit structure
1:293517 C13H17NO4
hit structure
1:293518 C8H15NO5
hit structure
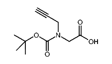
1:293519 C10H17NO4
hit structure
1:293520 C10H15NO4
hit structure
1:293521 C10H17NO4
hit structure
1:293522 C10H17NO4
hit structure
1:293523 C17H27NO4
hit structure
1:293524 C28H38N2O10
hit structure
1:293525 C28H38N2O10
hit structure
1:293526 C30H42N2O8
hit structure
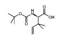
1:293527 C12H23NO4
hit structure
1:293528 C12H23NO4
hit structure
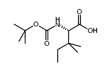
1:293529 C12H21NO4
hit structure
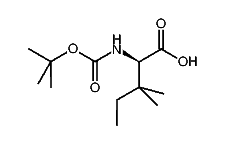
1:293530 C12H21NO4
hit structure
1:293531 C12H21NO4
hit structure
1:293532 C15H26N2O4
hit structure
1:293533 C13H23NO4
hit structure

1
  <<    <    >    >>  

entries in data collection: 413394