Home Browse Text SearchFunctional Group SearchStructure SearchPreferences Administration

selected data collection: 1

IRIS SDF: browse content


1
  <<    <    >    >>  

1:293484 C35H57N5O9S
hit structure
1:293485 C36H58ClN5O10S
hit structure
1:293486 C32H50ClN5O6S
hit structure
1:293487 C39H65N5O7S
hit structure
1:293488 C41H69N5O10S
hit structure
1:293489 C19H17N3O6
hit structure
1:293490 C21H21N3O7
hit structure
1:293491 C23H25N3O8
hit structure
1:293492 C27H33N3O10
hit structure
1:293493 C28H36N4O5S
hit structure
1:293494 C30H40N4O6S
hit structure
1:293495 C32H44N4O7S
hit structure
1:293496 C14H17F2NO4
hit structure
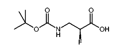
1:293497 C8H14FNO4
hit structure
1:293498 C8H14FNO4
hit structure
1:293499 C28H36F2N2O8
hit structure
1:293500 C20H21F2NO4
hit structure
1:293501 C14H16F9NO5
hit structure
1:293502 C14H16F9NO5
hit structure
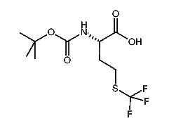
1:293503 C10H16F3NO4S
hit structure
1:293504 C10H17N3O4
hit structure
1:293505 C16H28N4O6
hit structure
1:293506 C11H19N3O4
hit structure
1:293507 C10H15N3O4
hit structure
1:293508 C10H16N4O4
hit structure

1
  <<    <    >    >>  

entries in data collection: 413394