Home Browse Text SearchFunctional Group SearchStructure SearchPreferences Administration

selected data collection: 1

IRIS SDF: browse content


1
  <<    <    >    >>  

1:286895 C16H22N2O7S2
hit structure
1:286896 C19H21NO3S2
hit structure
1:286897 C26H24N2O7S2
hit structure
1:286898 C19H14N2O5S2
hit structure
1:286899 C14H21NO3S2
hit structure
1:286900 C21H24N2O7S2
hit structure
1:286901 C24H23NO3S2
hit structure
1:286902 C9H11BrN2O5
hit structure
1:286903 C8H14N2O2S
hit structure
1:286904 C24H20N2O7S
hit structure
1:286905 C16H32ClN3O5
hit structure
1:286906 C9H9N3O2
hit structure
1:286907 C10H19NO5
hit structure
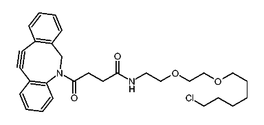
1:286908 C29H35ClN2O4
hit structure
1:286909 C10H22ClNO2
hit structure
1:286910 C14H30ClNO4
hit structure
1:286911 C10H20ClN3O2
hit structure
1:286912 C14H28ClN3O4
hit structure
1:286913 C16H26N2O2
hit structure
1:286914 C16H30N2O2
hit structure
1:286915 C18H34N2O2
hit structure
1:286916 C18H30N2O2
hit structure
1:286917 C29H31NO6
hit structure
1:286918 C30H29NO6
hit structure
1:286919 C28H29NO6
hit structure

1
  <<    <    >    >>  

entries in data collection: 297658