Home Browse Text SearchFunctional Group SearchStructure SearchPreferences Administration

selected data collection: 1

IRIS SDF: browse content


1
  <<    <    >    >>  

1:286870 C36H43N3O9
hit structure
1:286871 C16H31N3O2
hit structure
1:286872 C18H35N3O2
hit structure
1:286873 C29H33NO5
hit structure
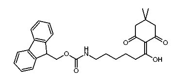
1:286874 C30H35NO7
hit structure
1:286875 C13H19N3O3
hit structure
1:286876 C11H15N5O4
hit structure
1:286877 C15H25N3O4S3
hit structure
1:286878 C23H26N2O5S2
hit structure
1:286879 C10H18N4O3S2
hit structure
1:286880 C10H15NO3S2
hit structure
1:286881 C53H59N3O5S
hit structure
1:286882 C53H60N4O4S
hit structure
1:286883 C19H22N2O2S2
hit structure
1:286884 C14H26N4O2S3
hit structure
1:286885 C9H12N2O4
hit structure
1:286886 C7H8N2O2
hit structure
1:286887 C17H21N3O8
hit structure
1:286888 C10H12N2O6
hit structure
1:286889 C15H21NO4
hit structure
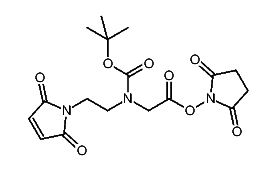
1:286890 C28H31N3O8
hit structure
1:286891 C12H18N4O4
hit structure
1:286892 C13H19N3O2S
hit structure
1:286893 C14H12N2O5S2
hit structure
1:286894 C9H19NO3S2
hit structure

1
  <<    <    >    >>  

entries in data collection: 297658