Home Browse Text SearchFunctional Group SearchStructure SearchPreferences Administration

selected data collection: 1

IRIS SDF: browse content


1
  <<    <    >    >>  

1:272641 C29H35N9O9
hit structure
1:272642 C22H29N5O5
hit structure
1:272643 C29H32N6O9
hit structure
1:272644 C37H40N6O6
hit structure
1:272645 C44H43N7O10
hit structure
1:272646 C25H32N4O6
hit structure
1:272647 C32H35N5O10
hit structure
1:272648 C19H26N6O4
hit structure
1:272649 C26H29N7O8
hit structure
1:272650 C19H23N3O4
hit structure
1:272651 C26H26N4O8
hit structure
1:272652 C34H34N4O5
hit structure
1:272653 C41H37N5O9
hit structure
1:272654 C20H30ClN3O4
hit structure
1:272655 C30H32ClN3O4
hit structure
1:272656 C21H31ClN6O3
hit structure
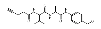
1:272657 C20H26ClN3O3
hit structure
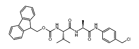
1:272658 C25H33ClN4O5
hit structure
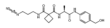
1:272659 C20H29ClN6O4
hit structure
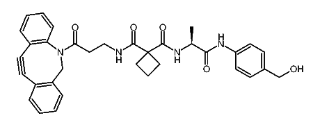
1:272660 C23H32ClN3O5
hit structure
1:272661 C27H30N4O6
hit structure
1:272662 C34H33N5O10
hit structure
1:272663 C30H36N6O7
hit structure
1:272664 C37H39N7O11
hit structure
1:272665 C32H39N5O8
hit structure

1
  <<    <    >    >>  

entries in data collection: 337914