Home Browse Text SearchFunctional Group SearchStructure SearchPreferences Administration

selected data collection: 1

IRIS SDF: browse content


1
  <<    <    >    >>  

1:272616 C23H33N5O5
hit structure
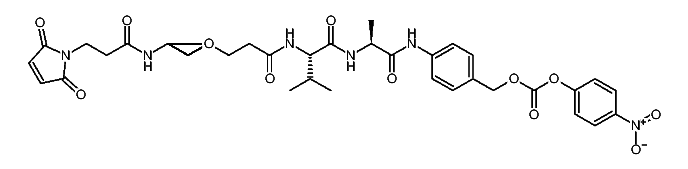
1:272617 C30H36N6O9
hit structure
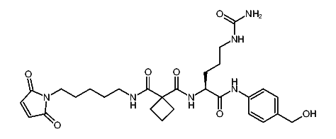
1:272618 C29H48N8O9
hit structure
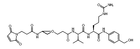
1:272619 C36H51N9O13
hit structure
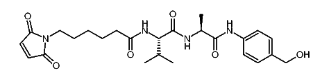
1:272620 C32H51N5O10
hit structure
1:272621 C39H54N6O14
hit structure
1:272622 C36H55N7O12
hit structure
1:272623 C43H58N8O16
hit structure
1:272624 C43H57N7O9
hit structure
1:272625 C25H34N4O6
hit structure
1:272626 C32H37N5O10
hit structure
1:272627 C21H32N6O4
hit structure
1:272628 C28H35N7O8
hit structure
1:272629 C20H27N3O4
hit structure
1:272630 C27H30N4O8
hit structure
1:272631 C26H42N6O8
hit structure
1:272632 C33H45N7O12
hit structure
1:272633 C29H45N3O9
hit structure
1:272634 C36H48N4O13
hit structure
1:272635 C33H49N5O11
hit structure
1:272636 C40H52N6O15
hit structure
1:272637 C40H51N5O8
hit structure
1:272638 C28H38N6O7
hit structure
1:272639 C35H41N7O11
hit structure
1:272640 C22H32N8O5
hit structure

1
  <<    <    >    >>  

entries in data collection: 337914