Home Browse Text SearchFunctional Group SearchStructure SearchPreferences Administration

selected data collection: 1

IRIS SDF: browse content


1
  <<    <    >    >>  

1:250446 C7H13NO2
hit structure
1:250447 C12H18N2O4
hit structure
1:250448 C14H26N2O4
hit structure
1:250449 C16H30N2O4
hit structure
1:250450 C7H13NO2
hit structure
1:250451 C16H30N2O4
hit structure
1:250452 C14H22N2O4
hit structure
1:250453 C14H22N2O4
hit structure
1:250454 C18H30N2O4
hit structure
1:250455 C6H13NO2
hit structure
1:250456 C7H15NO2
hit structure
1:250457 C8H17NO2
hit structure
1:250458 C9H19NO2
hit structure
1:250459 C7H15NO2
hit structure
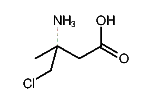
1:250460 C5H10ClNO2
hit structure
1:250461 C6H11NO2
hit structure
1:250462 C9H17NO2
hit structure
1:250463 C10H19NO2
hit structure
1:250464 C7H15NO2
hit structure
1:250465 C7H13NO2
hit structure
1:250466 C7H13NO3
hit structure
1:250467 C5H9NO2
hit structure
1:250468 C6H11NO2
hit structure
1:250469 C9H11NO2
hit structure
1:250470 C9H11NO2
hit structure

1
  <<    <    >    >>  

entries in data collection: 312754