Home Browse Text SearchFunctional Group SearchStructure SearchPreferences Administration

selected data collection: 1

IRIS SDF: browse content


1
  <<    <    >    >>  

1:250421 C14H26N2O4
hit structure
1:250422 C16H30N2O4
hit structure
1:250423 C14H22N2O4
hit structure
1:250424 C14H22N2O4
hit structure
1:250425 C18H30N2O4
hit structure
1:250426 C7H13NO2
hit structure
1:250427 C6H13NO2
hit structure
1:250428 C7H15NO2
hit structure
1:250429 C8H17NO2
hit structure
1:250430 C9H19NO2
hit structure
1:250431 C7H15NO2
hit structure
1:250432 C6H13NO2
hit structure
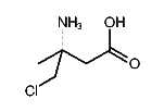
1:250433 C5H10ClNO2
hit structure
1:250434 C9H17NO2
hit structure
1:250435 C10H19NO2
hit structure
1:250436 C7H15NO2
hit structure
1:250437 C7H13NO2
hit structure
1:250438 C7H13NO3
hit structure
1:250439 C5H9NO2
hit structure
1:250440 C6H11NO2
hit structure
1:250441 C16H26N2O4
hit structure
1:250442 C16H22N2O4
hit structure
1:250443 C18H34N2O4
hit structure
1:250444 C18H30N2O4
hit structure
1:250445 C8H15NO2
hit structure

1
  <<    <    >    >>  

entries in data collection: 312754