Home Browse Text SearchFunctional Group SearchStructure SearchPreferences Administration

selected data collection: 1

IRIS SDF: browse content


1
  <<    <    >    >>  

1:213845 C24H19I2NO5
hit structure
1:213846 C24H20INO5
hit structure
1:213847 C24H20N2O7
hit structure
1:213848 C31H27NO5
hit structure
1:213849 C24H22NO8P
hit structure
1:213850 C24H21NO5
hit structure
1:213851 C21H21NO4
hit structure
1:213852 C21H21NO4
hit structure
1:213853 C23H27NO5
hit structure
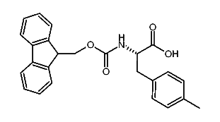
1:213854 C20H17NO4
hit structure
1:213855 C24H28N2O6
hit structure
1:213856 C34H30N2O6
hit structure
1:213857 C24H28N2O4
hit structure
1:213858 C34H30N2O6
hit structure
1:213859 C25H29N2O5*
hit structure
1:213860 C29H36N4O8
hit structure
1:213861 C37H44N4O9S
hit structure
1:213862 C20H20N2O5
hit structure
1:213863 C37H54N2O5
hit structure
1:213864 C20H20N2O5
hit structure
1:213865 C37H54N2O5
hit structure
1:213866 C36H52N2O5
hit structure
1:213867 C25H23NO4
hit structure
1:213868 C25H23NO5
hit structure
1:213869 C20H17NO5
hit structure

1
  <<    <    >    >>  

entries in data collection: 277530