Home Browse Text SearchFunctional Group SearchStructure SearchPreferences Administration

selected data collection: 1

IRIS SDF: browse content


1
  <<    <    >    >>  

1:213820 C25H23NO5
hit structure
1:213821 C19H17NO4
hit structure
1:213822 C24H19NO4
hit structure
1:213823 C29H29ClN2O6
hit structure
1:213824 C27H27N3O5
hit structure
1:213825 C27H36N2O6Si
hit structure
1:213826 C24H25NO4
hit structure
1:213827 C28H28N2O6
hit structure
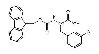
1:213828 C24H20ClNO4
hit structure
1:213829 C24H20FNO4
hit structure
1:213830 C24H19Cl2NO4
hit structure
1:213831 C24H20ClNO4
hit structure
1:213832 C24H20FNO4
hit structure
1:213833 C24H20INO4
hit structure
1:213834 C24H20BrNO4
hit structure
1:213835 C35H40N4O8
hit structure
1:213836 C24H22N2O4
hit structure
1:213837 C29H30N2O6
hit structure
1:213838 C24H20N2O6
hit structure
1:213839 C24H16F5NO4
hit structure
1:213840 C25H24NO7P
hit structure
1:213841 C25H33NO5Si
hit structure
1:213842 C21H23NO4
hit structure
1:213843 C31H25Cl2NO5
hit structure
1:213844 C32H26BrNO7
hit structure

1
  <<    <    >    >>  

entries in data collection: 277530