Home Browse Text SearchFunctional Group SearchStructure SearchPreferences Administration

selected data collection: 1

IRIS SDF: browse content


1
  <<    <    >    >>  

1:11435 C12H21NO4
hit structure
1:11436 C12H21NO4
hit structure
1:11437 C12H21NO4
hit structure
1:11438 C12H21NO4
hit structure
1:11439 C12H21NO4
hit structure
1:11440 C12H21NO4
hit structure
1:11441 C16H29NO5
hit structure
1:11442 C16H21NO4
hit structure
1:11443 C16H21NO4
hit structure
1:11444 C16H27NO4
hit structure
1:11445 C32H42N2O8
hit structure
1:11446 C32H42N2O8
hit structure
1:11447 C15H21NO4
hit structure
1:11448 C15H21NO4
hit structure
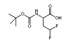
1:11449 C9H15F2NO4
hit structure
1:11450 C9H14F3NO4
hit structure
1:11451 C10H19NO4
hit structure
1:11452 C10H19NO4
hit structure
1:11453 C19H21NO4
hit structure
1:11454 C13H24N2O5S2
hit structure
1:11455 C9H15F2NO4
hit structure
1:11456 C14H28N2O4
hit structure
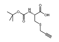
1:11457 C11H17NO4S
hit structure
1:11458 C10H15NO5
hit structure
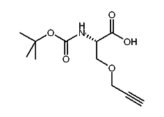
1:11459 C11H17NO5
hit structure

1
  <<    <    >    >>  

entries in data collection: 46058