Home Browse Text SearchFunctional Group SearchStructure SearchPreferences Administration

selected data collection: 1

IRIS SDF: browse content


1
  <<    <    >    >>  

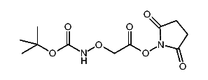
1:11410 C11H20N4O4
hit structure
1:11411 C8H14N4O4
hit structure
1:11412 C8H14N4O4
hit structure
1:11413 C10H18N4O4
hit structure
1:11414 C10H18N4O4
hit structure
1:11415 C12H21NO7
hit structure
1:11416 C13H18N2O4
hit structure
1:11417 C14H18N4O4
hit structure
1:11418 C14H18N4O4
hit structure
1:11419 C13H17N3O6S2
hit structure
1:11420 C12H19N3O4
hit structure
1:11421 C12H19N3O4
hit structure
1:11422 C11H21NO4
hit structure
1:11423 C9H17NO5
hit structure
1:11424 C12H24N2O4
hit structure
1:11425 C15H21NO4
hit structure
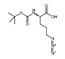
1:11426 C10H16N4O4
hit structure
1:11427 C10H19NO5
hit structure
1:11428 C11H19NO4
hit structure
1:11429 C11H19NO4
hit structure
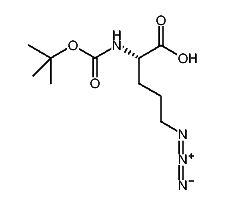
1:11430 C10H16N4O4
hit structure
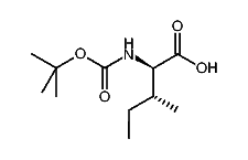
1:11431 C10H17NO4
hit structure
1:11432 C11H16N2O7
hit structure
1:11433 C11H19NO4
hit structure
1:11434 C11H19NO4
hit structure

1
  <<    <    >    >>  

entries in data collection: 46058