Home Browse Text SearchFunctional Group SearchStructure SearchPreferences Administration

selected data collection: 1

IRIS SDF: browse content


1
  <<    <    >    >>  

1:99011 C40H37NO4S
hit structure
1:99012 C41H39NO4S
hit structure
1:99013 C24H28N2O6
hit structure
1:99014 C25H30N2O6
hit structure
1:99015 C21H23NO4S
hit structure
1:99016 C26H31NO6
hit structure
1:99017 C27H37NO5Si
hit structure
1:99018 C37H45N7O7S
hit structure
1:99019 C24H28N2O5
hit structure
1:99020 C22H24N4O4
hit structure
1:99021 C35H44N2O6
hit structure
1:99022 C25H28N2O5
hit structure
1:99023 C28H28N2O8S
hit structure
1:99024 C29H27N5O3S
hit structure
1:99025 C26H19N3O4S2
hit structure
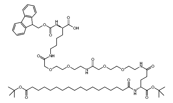
1:99026 C64H101N5O16
hit structure
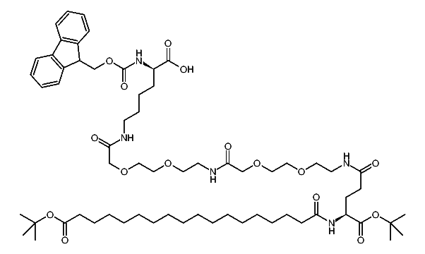
1:99027 C64H101N5O16
hit structure
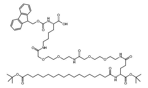
1:99028 C64H101N5O16
hit structure
1:99029 C22H21NO4S
hit structure
1:99030 C25H28N2O6
hit structure
1:99031 C24H24N2O6
hit structure
1:99032 C28H36N2O6
hit structure
1:99033 C39H34N2O5
hit structure
1:99034 C22H23NO4
hit structure
1:99035 C28H34N2O7
hit structure

1
  <<    <    >    >>  

entries in data collection: 131602