Home Browse Text SearchFunctional Group SearchStructure SearchPreferences Administration

selected data collection: 1

IRIS SDF: browse content


1
  <<    <    >    >>  

1:97473 C19H24N2O7
hit structure
1:97474 C20H26N2O7
hit structure
1:97475 C17H22N2O4
hit structure
1:97476 C22H23N3O6
hit structure
1:97477 C20H23N3O6
hit structure
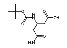
1:97478 C16H22N2O6
hit structure
1:97479 C14H22N2O6
hit structure
1:97480 C15H18N2O4
hit structure
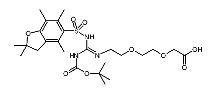
1:97481 C23H35N3O8S
hit structure
1:97482 C25H39N3O9S
hit structure
1:97483 C9H17NO4
hit structure
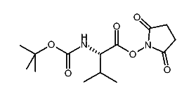
1:97484 C15H21NO4
hit structure
1:97485 C11H19NO4
hit structure
1:97486 C9H17NO4
hit structure
1:97487 C10H18N2O5
hit structure
1:97488 C12H23NO4
hit structure
1:97489 C12H23NO4
hit structure
1:97490 C11H21NO4S
hit structure
1:97491 C18H32N2O8Se2
hit structure
1:97492 C27H34N2O6
hit structure
1:97493 C14H16N2O6
hit structure
1:97494 C14H17NO4
hit structure
1:97495 C27H40N4O7S
hit structure
1:97496 C27H43N7O7S
hit structure
1:97497 C8H17NO3
hit structure

1
  <<    <    >    >>  

entries in data collection: 130427