Home Browse Text SearchFunctional Group SearchStructure SearchPreferences Administration

selected data collection: 1

IRIS SDF: browse content


1
  <<    <    >    >>  

1:96721 C16H21NO6
hit structure
1:96722 C15H25NO6
hit structure
1:96723 C13H23NO6
hit structure
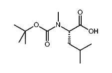
1:96724 C13H23NO6
hit structure
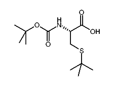
1:96725 C13H23NO6
hit structure
1:96726 C11H20N2O5S
hit structure
1:96727 C15H21NO4S
hit structure
1:96728 C16H23NO4S
hit structure
1:96729 C16H23NO5S
hit structure
1:96730 C12H23NO4S
hit structure
1:96731 C16H27NO6
hit structure
1:96732 C16H25N3O6
hit structure
1:96733 C11H17N3O4
hit structure
1:96734 C10H17NO5
hit structure
1:96735 C11H21NO4
hit structure
1:96736 C11H21NO4
hit structure
1:96737 C19H27ClN2O6
hit structure
1:96738 C15H26N2O6
hit structure
1:96739 C16H30N2O6
hit structure
1:96740 C19H28N2O6
hit structure
1:96741 C11H22N2O4
hit structure
1:96742 C9H17NO4
hit structure
1:96743 C12H23NO4
hit structure
1:96744 C12H23NO4
hit structure
1:96745 C15H21NO4
hit structure

1
  <<    <    >    >>  

entries in data collection: 121538