Home Browse Text SearchFunctional Group SearchStructure SearchPreferences Administration

selected data collection: 1

IRIS SDF: browse content


1
  <<    <    >    >>  

1:9610 C9H5F3N2O2 C9H5F3N2O2 C9H5F3N2O2 C9H5F3N2O2
hit structure
1:9611 C9H8F3N3 C9H8F3N3 C9H8F3N3 C9H8F3N3 C9H8F3
hit structure
1:9612 C14H18O4 C14H18O4 C14H18O4 C14H18O4 C14H18
hit structure
1:9613 C13H16O4 C13H16O4 C13H16O4 C13H16O4 C13H16
hit structure
1:9614 C15H20O4 C15H20O4 C15H20O4 C15H20O4 C15H20
hit structure
1:9615 C22H27NO7 C22H27NO7 C22H27NO7 C22H27NO7 C2
hit structure
1:9616 C10H14N4O4 C10H14N4O4 C10H14N4O4 C10H14N4O4
hit structure
1:9617 C7H7N3O C7H7N3O C7H7N3O C7H7N3O C7H7N3O
hit structure
1:9618 C8H7N3O2 C8H7N3O2 C8H7N3O2 C8H7N3O2 C8H7N3
hit structure
1:9619 C6H7NO3 C6H7NO3 C6H7NO3 C6H7NO3 C6H7NO3
hit structure
1:9620 C9H9N3O3 C9H9N3O3 C9H9N3O3 C9H9N3O3 C9H9N3
hit structure
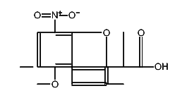
1:9621 C23H33N3O7S C23H33N3O7S C23H33N3O7S C23H33N
hit structure
1:9622 C15H24N4O4 C15H24N4O4 C15H24N4O4 C15H24N4O4
hit structure
1:9623 C14H26ClNO5 C14H26ClNO5 C14H26ClNO5 C14H26C
hit structure
1:9624 C11H21N3O2 C11H21N3O2 C11H21N3O2 C11H21N3O2
hit structure
1:9625 C12H23N3O2 C12H23N3O2 C12H23N3O2 C12H23N3O2
hit structure
1:9626 C16H26N4O4 C16H26N4O4 C16H26N4O4 C16H26N4O4
hit structure
1:9627 C14H27N3O2 C14H27N3O2 C14H27N3O2 C14H27N3O2
hit structure
1:9628 C16H31N3O2 C16H31N3O2 C16H31N3O2 C16H31N3O2
hit structure
1:9629 C18H35N3O2 C18H35N3O2 C18H35N3O2 C18H35N3O2
hit structure
1:9630 C29H33NO5 C29H33NO5 C29H33NO5 C29H33NO5 C2
hit structure
1:9631 C30H35NO7 C30H35NO7 C30H35NO7 C30H35NO7 C3
hit structure
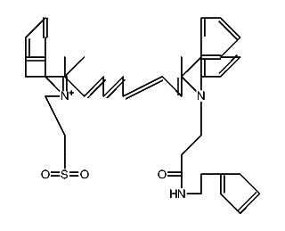
1:9632 C53H59N3O5S C53H59N3O5S C53H59N3O5S C53H59N
hit structure
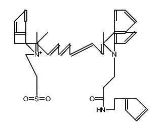
1:9633 C53H60N4O4S C53H60N4O4S C53H60N4O4S C53H60N
hit structure
1:9634 C19H22N2O2S2 C19H22N2O2S2 C19H22N2O2S2 C19H
hit structure

1
  <<    <    >    >>  

entries in data collection: 66186