Home Browse Text SearchFunctional Group SearchStructure SearchPreferences Administration

selected data collection: 1

IRIS SDF: browse content


1
  <<    <    >    >>  

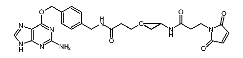
1:95729 C31H40N8O9
hit structure
1:95730 C21H21N7O2S2
hit structure
1:95731 C26H30N8O4S2
hit structure
1:95732 C34H31N7O3
hit structure
1:95733 C24H22N2O2
hit structure
1:95734 C23H21F9N4O4S
hit structure
1:95735 C21H16F9NO5S
hit structure
1:95736 C35H41F9N4O6S2
hit structure
1:95737 C16H30N4O4S
hit structure
1:95738 C7H7N3O
hit structure
1:95739 C8H4N2O4S
hit structure
1:95740 C12H16N2O5S2
hit structure
1:95741 C5H9N3O2S2
hit structure
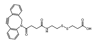
1:95742 C24H24N2O4S2
hit structure
1:95743 C14H24N6O2S3
hit structure
1:95744 C20H22BNO7
hit structure
1:95745 C36H35BN2O13
hit structure
1:95746 C11H12N4O5S2
hit structure
1:95747 C18H16N2O10S2
hit structure
1:95748 C19H14N2O4S3
hit structure
1:95749 C10H17NOS
hit structure
1:95750 C13H22N2O2S
hit structure
1:95751 C14H21NO4S
hit structure
1:95752 C18H34N4O5S
hit structure
1:95753 C10H8N4OS
hit structure

1
  <<    <    >    >>  

entries in data collection: 101410