Home Browse Text SearchFunctional Group SearchStructure SearchPreferences Administration

selected data collection: 1

IRIS SDF: browse content


1
  <<    <    >    >>  

1:92320 C16H23NO5
hit structure
1:92321 C18H28N2O4
hit structure
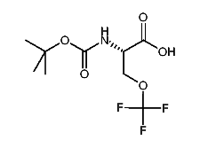
1:92322 C15H18F3NO5
hit structure
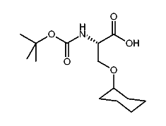
1:92323 C18H27NO4
hit structure
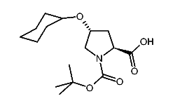
1:92324 C17H25NO4
hit structure
1:92325 C14H19NO5
hit structure
1:92326 C19H37NO4
hit structure
1:92327 C14H19NO5
hit structure
1:92328 C15H20N2O5
hit structure
1:92329 C16H22N2O5
hit structure
1:92330 C17H21N3O4
hit structure
1:92331 C22H24N2O4
hit structure
1:92332 C16H28N2O5
hit structure
1:92333 C15H26N2O5
hit structure
1:92334 C14H25NO5
hit structure
1:92335 C20H29NO5
hit structure
1:92336 C16H27NO5
hit structure
1:92337 C9H14F3NO4S
hit structure
1:92338 C9H14F3NO5
hit structure
1:92339 C10H17F2NO4
hit structure
1:92340 C11H16F3NO5
hit structure
1:92341 C15H18F3NO5
hit structure
1:92342 C17H19F3N2O4
hit structure
1:92343 C10H15F2NO4
hit structure
1:92344 C10H16F3NO4
hit structure

1
  <<    <    >    >>  

entries in data collection: 131602