Home Browse Text SearchFunctional Group SearchStructure SearchPreferences Administration

selected data collection: 1

IRIS SDF: browse content


1
  <<    <    >    >>  

1:91508 C23H32ClN3O5
hit structure
1:91509 C27H30N4O6
hit structure
1:91510 C34H33N5O10
hit structure
1:91511 C30H36N6O7
hit structure
1:91512 C37H39N7O11
hit structure
1:91513 C32H39N5O8
hit structure
1:91514 C39H42N6O12
hit structure
1:91515 C13H14O5
hit structure
1:91516 C20H17NO9
hit structure
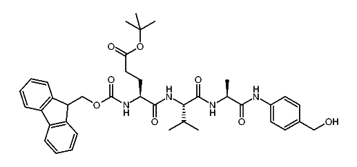
1:91517 C42H54N6O9
hit structure
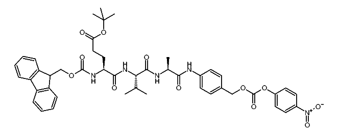
1:91518 C49H57N7O13
hit structure
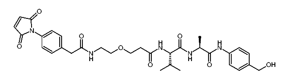
1:91519 C39H48N4O8
hit structure
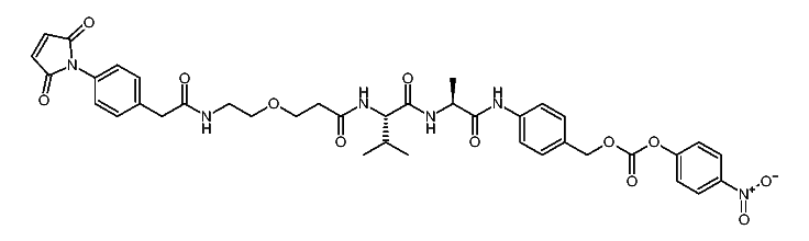
1:91520 C46H51N5O12
hit structure
1:91521 C12H14N2O
hit structure
1:91522 C9H18N2O2
hit structure
1:91523 C15H14N2O2
hit structure
1:91524 C11H26N2O4
hit structure
1:91525 C14H24N2O4
hit structure
1:91526 C11H26N2O4
hit structure
1:91527 C8H15NO4S
hit structure
1:91528 C27H29NO4S
hit structure
1:91529 C13H22N2O6
hit structure
1:91530 C24H28N2O6
hit structure
1:91531 C9H18N2O4
hit structure
1:91532 C23H26N2O6
hit structure

1
  <<    <    >    >>  

entries in data collection: 126570