Home Browse Text SearchFunctional Group SearchStructure SearchPreferences Administration

selected data collection: 1

IRIS SDF: browse content


1
  <<    <    >    >>  

1:90647 C16H22N2O7S2
hit structure
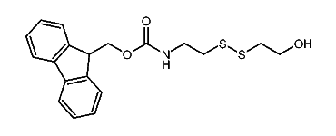
1:90648 C19H21NO3S2
hit structure
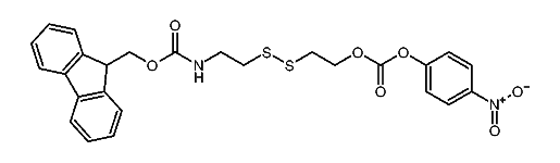
1:90649 C26H24N2O7S2
hit structure
1:90650 C19H14N2O5S2
hit structure
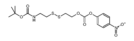
1:90651 C14H21NO3S2
hit structure
1:90652 C21H24N2O7S2
hit structure
1:90653 C24H23NO3S2
hit structure
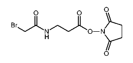
1:90654 C9H11BrN2O5
hit structure
1:90655 C8H14N2O2S
hit structure
1:90656 C24H20N2O7S
hit structure
1:90657 C16H32ClN3O5
hit structure
1:90658 C9H9N3O2
hit structure
1:90659 C10H19NO5
hit structure
1:90660 C29H35ClN2O4
hit structure
1:90661 C10H22ClNO2
hit structure
1:90662 C14H30ClNO4
hit structure
1:90663 C10H20ClN3O2
hit structure
1:90664 C14H28ClN3O4
hit structure
1:90665 C16H26N2O2
hit structure
1:90666 C16H30N2O2
hit structure
1:90667 C18H34N2O2
hit structure
1:90668 C18H30N2O2
hit structure
1:90669 C29H31NO6
hit structure
1:90670 C30H29NO6
hit structure
1:90671 C28H29NO6
hit structure

1
  <<    <    >    >>  

entries in data collection: 96378