Home Browse Text SearchFunctional Group SearchStructure SearchPreferences Administration

selected data collection: 1

IRIS SDF: browse content


1
  <<    <    >    >>  

1:90072 C18H29NO11
hit structure
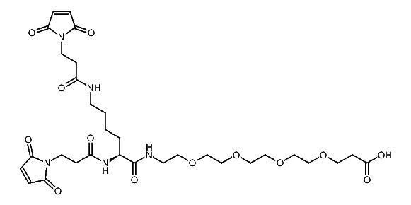
1:90073 C31H45N5O13
hit structure
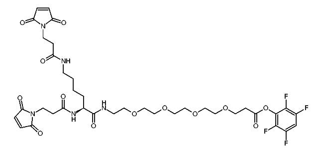
1:90074 C37H45F4N5O13
hit structure
1:90075 C18H34N4O6S
hit structure
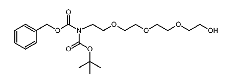
1:90076 C14H26N4O6
hit structure
1:90077 C25H30N2O8
hit structure
1:90078 C25H44N4O8S
hit structure
1:90079 C10H18N4O5
hit structure
1:90080 C10H21N3O5
hit structure
1:90081 C10H22N4O4
hit structure
1:90082 C21H25NO5
hit structure
1:90083 C23H29NO6
hit structure
1:90084 C21H33NO8
hit structure
1:90085 C10H19N3O4
hit structure
1:90086 C8H15N3O5
hit structure
1:90087 C18H27NO9
hit structure
1:90088 C11H21NO4
hit structure
1:90089 C18H26N2O7
hit structure
1:90090 C12H25N3O6
hit structure
1:90091 C27H32O4S
hit structure
1:90092 C25H37N7O6S
hit structure
1:90093 C23H38N4O6S
hit structure
1:90094 C11H17NO5
hit structure
1:90095 C33H45N3O12
hit structure
1:90096 C13H28N2O5
hit structure

1
  <<    <    >    >>  

entries in data collection: 106442