Home Browse Text SearchFunctional Group SearchStructure SearchPreferences Administration

selected data collection: 1

IRIS SDF: browse content


1
  <<    <    >    >>  

1:87458 C21H25Cl2NO4
hit structure
1:87459 C21H27NO4
hit structure
1:87460 C17H26N2O5
hit structure
1:87461 C17H26N2O5
hit structure
1:87462 C34H38N4O5
hit structure
1:87463 C20H32N4O7
hit structure
1:87464 C45H56N6O9
hit structure
1:87465 C31H50N6O11
hit structure
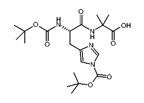
1:87466 C22H34N2O6
hit structure
1:87467 C10H20N2O2
hit structure
1:87468 C9H20N2O2
hit structure
1:87469 C9H20N2O2
hit structure
1:87470 C18H26N2O6
hit structure
1:87471 C11H22N2O2
hit structure
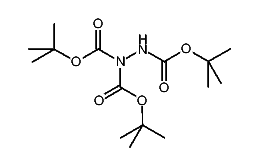
1:87472 C15H28N2O6
hit structure
1:87473 C9H20N2O2
hit structure
1:87474 C8H18N2O2
hit structure
1:87475 C10H22N2O2
hit structure
1:87476 C15H32N2O4
hit structure
1:87477 C11H24N2O4
hit structure
1:87478 C7H16N2O2
hit structure
1:87479 C14H22N2O2
hit structure
1:87480 C23H26BrN2O2P
hit structure
1:87481 C9H18N2O2
hit structure
1:87482 C9H18N2O2
hit structure

1
  <<    <    >    >>  

entries in data collection: 101410