Home Browse Text SearchFunctional Group SearchStructure SearchPreferences Administration

selected data collection: 1

IRIS SDF: browse content


1
  <<    <    >    >>  

1:86458 C22H29N5O5
hit structure
1:86459 C29H32N6O9
hit structure
1:86460 C37H40N6O6
hit structure
1:86461 C44H43N7O10
hit structure
1:86462 C25H32N4O6
hit structure
1:86463 C32H35N5O10
hit structure
1:86464 C19H26N6O4
hit structure
1:86465 C26H29N7O8
hit structure
1:86466 C19H23N3O4
hit structure
1:86467 C26H26N4O8
hit structure
1:86468 C34H34N4O5
hit structure
1:86469 C41H37N5O9
hit structure
1:86470 C20H30ClN3O4
hit structure
1:86471 C30H32ClN3O4
hit structure
1:86472 C21H31ClN6O3
hit structure
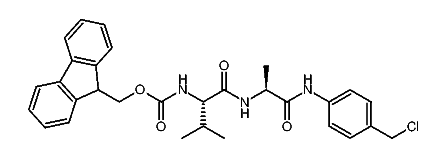
1:86473 C20H26ClN3O3
hit structure
1:86474 C25H33ClN4O5
hit structure
1:86475 C20H29ClN6O4
hit structure
1:86476 C23H32ClN3O5
hit structure
1:86477 C27H30N4O6
hit structure
1:86478 C34H33N5O10
hit structure
1:86479 C30H36N6O7
hit structure
1:86480 C37H39N7O11
hit structure
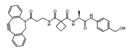
1:86481 C32H39N5O8
hit structure
1:86482 C39H42N6O12
hit structure

1
  <<    <    >    >>  

entries in data collection: 116506