Home Browse Text SearchFunctional Group SearchStructure SearchPreferences Administration

selected data collection: 1

IRIS SDF: browse content


1
  <<    <    >    >>  

1:86408 C11H19NO3
hit structure
1:86409 C14H25NO3
hit structure
1:86410 C15H27NO3
hit structure
1:86411 C12H23NO3
hit structure
1:86412 C12H21NO3
hit structure
1:86413 C11H19NO3
hit structure
1:86414 C16H23NO4
hit structure
1:86415 C14H18FNO3
hit structure
1:86416 C15H20FNO3
hit structure
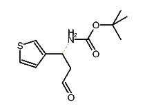
1:86417 C12H17NO3S
hit structure
1:86418 C40H42N6O10
hit structure
1:86419 C30H40N6O10
hit structure
1:86420 C23H37N5O6
hit structure
1:86421 C33H39N5O6
hit structure
1:86422 C20H31N3O5
hit structure
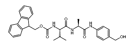
1:86423 C27H34N4O9
hit structure
1:86424 C30H33N3O5
hit structure
1:86425 C37H36N4O9
hit structure
1:86426 C34H40N6O12
hit structure
1:86427 C37H46N8O13
hit structure
1:86428 C28H40N6O7
hit structure
1:86429 C35H43N7O11
hit structure
1:86430 C24H38N8O5
hit structure
1:86431 C31H41N9O9
hit structure
1:86432 C23H33N5O5
hit structure

1
  <<    <    >    >>  

entries in data collection: 116506